大森林专注跨境物流合规出海,就选大森林

首页解决方案

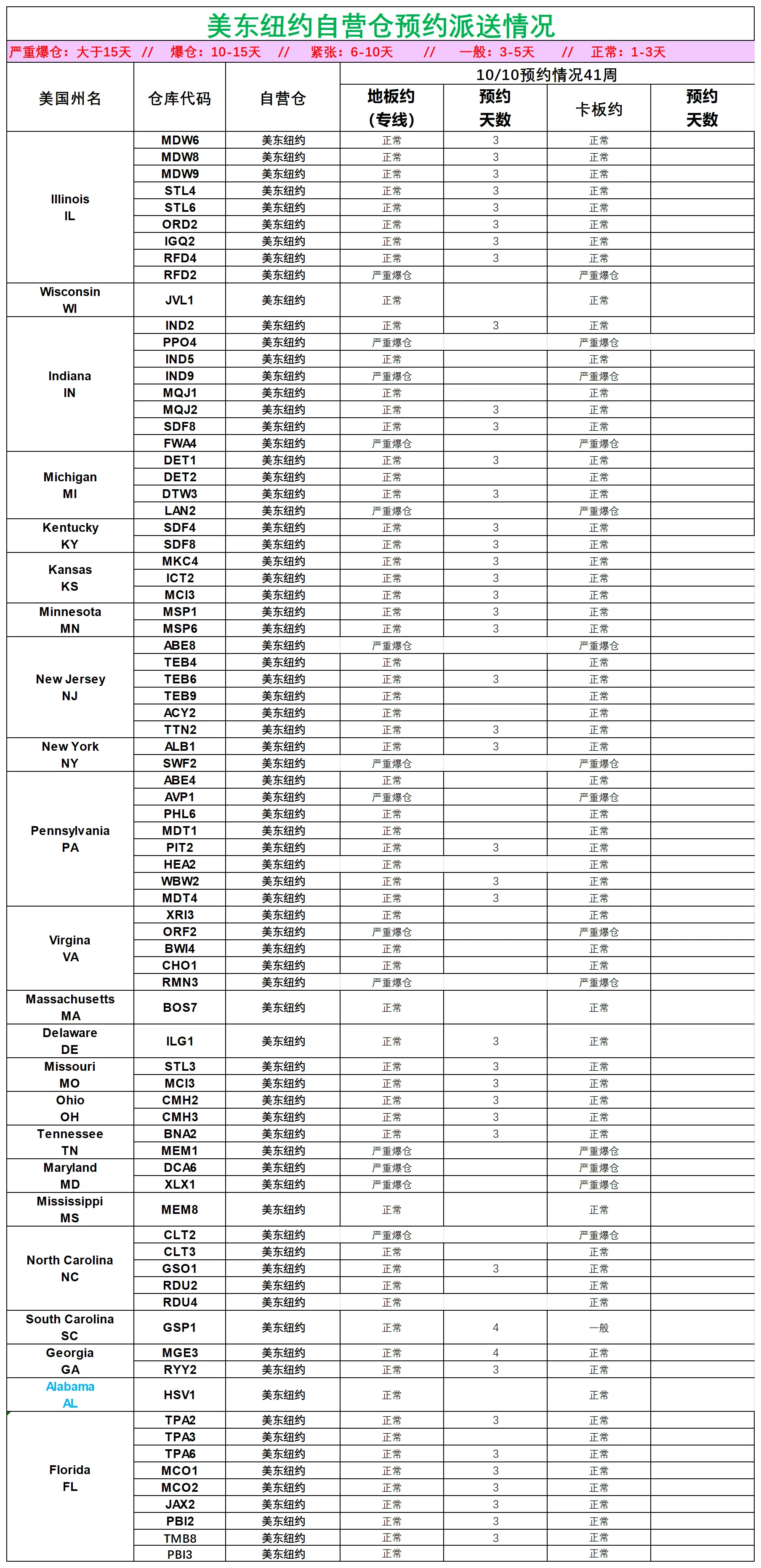
2025年10月10日美国到港时效及后端派送情况更新

2025年10月11日11:47评论:0

2025年10月10日美国到港时效及后端派送情况更新

3.18.jpg

美国后段派送情况_船司航程情况.png

美国后段派送情况_海外仓预约送仓.png

美国后段派送情况_美东纽约.png

美国后段派送情况_美西奥克兰.png

美国后段派送情况_美西洛杉矶.png

美国后段派送情况_美中休斯顿.png

美国后段派送情况_美中芝加哥.png

美国后段派送情况_萨瓦纳.png


上一篇:2025年9月26日美国到港时效及后端派送情况更新

下一篇:2025年10月10日加拿大到港时效及后端派送情况更新